200以上 2元1次方程式 公式 341532-2元1次方程式 公式
数学家们为了解开四次方程——确切地说,找到解开四次方程的方法——做出了许多努力。像其它多项式一样,有时可以对四次方程进行因式分解;但高次幂下的因式分解往往非常困难,尤其是当根是无理数或复数时。 因此找到一个公式解(就像二次方程的求根公式那样, 能解貨幣需求 (Demand for Money)貨幣需求是指社會各部門在既定的收入或財富範圍內能夠而且願意以貨幣形式持有的數量。在現代高度貨幣化的經濟社會裡,社會各部門需要持有一定的貨幣去媒介交換、支付費用、償還債務、從事投資或保存價值,因此便產生了貨幣需求。在最初的概念下,底數是接近1的數,而對數是整數;經過簡單變換後,底數變大了,成為接近數學常數e的數,而對數變小了,成為 x/n。 ^ Lang 1997, section IV.2 ^ Calculation of d/dx(Log(b,x))
二元二次不定方程 大章鱼 张文哲的博客 Csdn博客 二元二次不定方程
2元1次方程式 公式
2元1次方程式 公式-



二元一次式的值 Youtube



Fx 991cn X方程 组 求解功能的使用 知乎



ユニーク2元1次方程式公式 最高のぬりえ



二元一次方程的解法公式法 图文 百度文库



三次方程求根公式例子二 Linux 0 11调试教程 Csdn博客



二元一次方程组练习题100道 松鼠文库



總結 二元一次方程組 Youtube



二元一次方程公式下载 Word模板 爱问共享资料



2次方程式の解の公式1 Math Showme



二元一次方程公式下载 Word模板 爱问共享资料



解二元一次方程的步骤解二元一次方程组 详细过程



Ex 公式解 一元二次方程式 發現學習的美麗新世界



Ch2 空間中的平面與直線2 3 三元一次聯立方程式製作老師 趙益男 基隆女中教師發行公司 龍騰文化事業股份有限公司 Ppt Download



Latex 第五课 数学公式排版 知乎



二元一次式的值 Youtube



一元二次方程求根公式小结 小啊呜的博客 Csdn博客 一元二次方程求根公式



数学一分钟点到直线距离公式推导证明 哔哩哔哩 つロ干杯 Bilibili



ユニーク2元1次方程式公式 最高のぬりえ



Cnb 基于低频方波信号频率预测的信号频率实时测量方法 Google Patents



三次方程化简公式例题 如图 求一元三次方程如何化简为因式乘积形式的方法 三人行教育网 Www 3rxing Org



如何计算曲线积分 知乎



初中数学九年级上册最新北师大版 用公式法求解一元二次方程 网易公开课



驚くばかり2元1次方程式计算机 最高のぬりえ



國中數學公式解解一元二次方程式 Youtube



Chapter 11 偏微分方程 Some Notes On Mathematics



恰当方程 全微分方程 一 概念二 全微分方程的解法 Ppt Download



二元函数偏导数公式 专题33 多元复合函数和隐函数求导内容小结 题型与典型例题分析 Weixin 的博客 程序员宅基地 程序员宅基地



100 Epic Best2 元1 次方程式 最高のカラーリングのアイデア



二元一次方程组练习题100道 松鼠文库



斐波那契数列的通项公式 知乎



配方法解一元二次方程式



高中數學三元一次方程組的克拉瑪公式 Youtube



虚数的二元一次方程怎么解 二元函数虚数解公式 三人行教育网 Www 3rxing Org



22 2 2 一元二次方程的解法 公式法 图文 百度文库



トップ100連立方程式公式 最高のカラーリングのアイデア



新着連立3 元1 次方程式 最高のぬりえ



Ch2 空間中的平面與直線2 3 三元一次聯立方程式製作老師 趙益男 基隆女中教師發行公司 龍騰文化事業股份有限公司 Ppt Download



一元四次方程求根公式 来源 费拉里法 置换群法 历史版本1 快懂百科



ユニーク2元1次方程式公式 最高のぬりえ



第二章非线性方程的数值解法非线性方程n次代数方程 超越方程 N 1 2 N 3 4 N 5 求根公式查数学手册 如 Ppt Download



40 三元一次聯立方程式的公式解 克拉瑪公式的說明 Youtube



巧用excel解多元一次方程組 每日頭條



二元一次方程式的圖形ax By C 的圖形y K 的圖形x H 的圖形二元一次聯立方程式的圖形自我評量 Ppt Download



九年级数学上册21 2 2 公式法用公式法解一元二次方程 第2课时 新人教版下载 Ppt模板 爱问共享资料



公式法和因式分解法求一元二次方程的根 哔哩哔哩 つロ干杯 Bilibili



ユニーク2元1次方程式公式 最高のぬりえ



解一元二次方程 常见三大错误 90 的学生中招 知乎



二元二次不定方程 大章鱼 张文哲的博客 Csdn博客 二元二次不定方程



二元一次方程式 國中數學 一元二次方程式



九年级数学上册21 2 2 公式法1 新人教版下载 Ppt模板 爱问共享资料



人教版数学九年级上册 21 2 2解一元二次方程 公式法 同步练习 有答案 七七文库www 77wenku Com



可汗学院 二次方程 如何使用求根公式 网易公开课



Ch2 空間中的平面與直線2 3 三元一次聯立方程式製作老師 趙益男 基隆女中教師發行公司 龍騰文化事業股份有限公司 Ppt Download



例題 克拉瑪公式解二元一次方程組變化 Youtube



积分公式和常用方法总结 Leemboy的博客 Csdn博客 积分公式



B4 2 3 觀念澄清 三元一次方程組的克拉瑪公式中的四個行列式都等於0不一定是無限多解 也可能是無解 理論 Youtube



一元二次方程求根公式 Geogebra



P计算方法 二元一次和二元二次方程求根公式 一元n次方程 N 2 N 5 下载 Word模板 爱问共享资料



高二高中數學的 高二數學 二元一次不等式筆記 Clear



75 数学一次方程式 最高のぬりえ



一元二次方程的概念及解法下载 Word模板 爱问共享资料



2 3b例題02四次方程式的所有根含虛數根 務必要有耐心 Youtube



点到直线距离公式的几种推导 知乎



人教版初三数学上册公式法解一元二次方程讲解 哔哩哔哩 つロ干杯 Bilibili



Word数学笔记教程 2 复杂公式的排版 知乎



一元三次方程求根公式与一元四次方程求根公式 哔哩哔哩



高中數學二元一次方程組與克拉瑪公式a Youtube



二选一次方程教学 二元一次方程因式分解法教学视频 三人行教育网 Www 3rxing Org



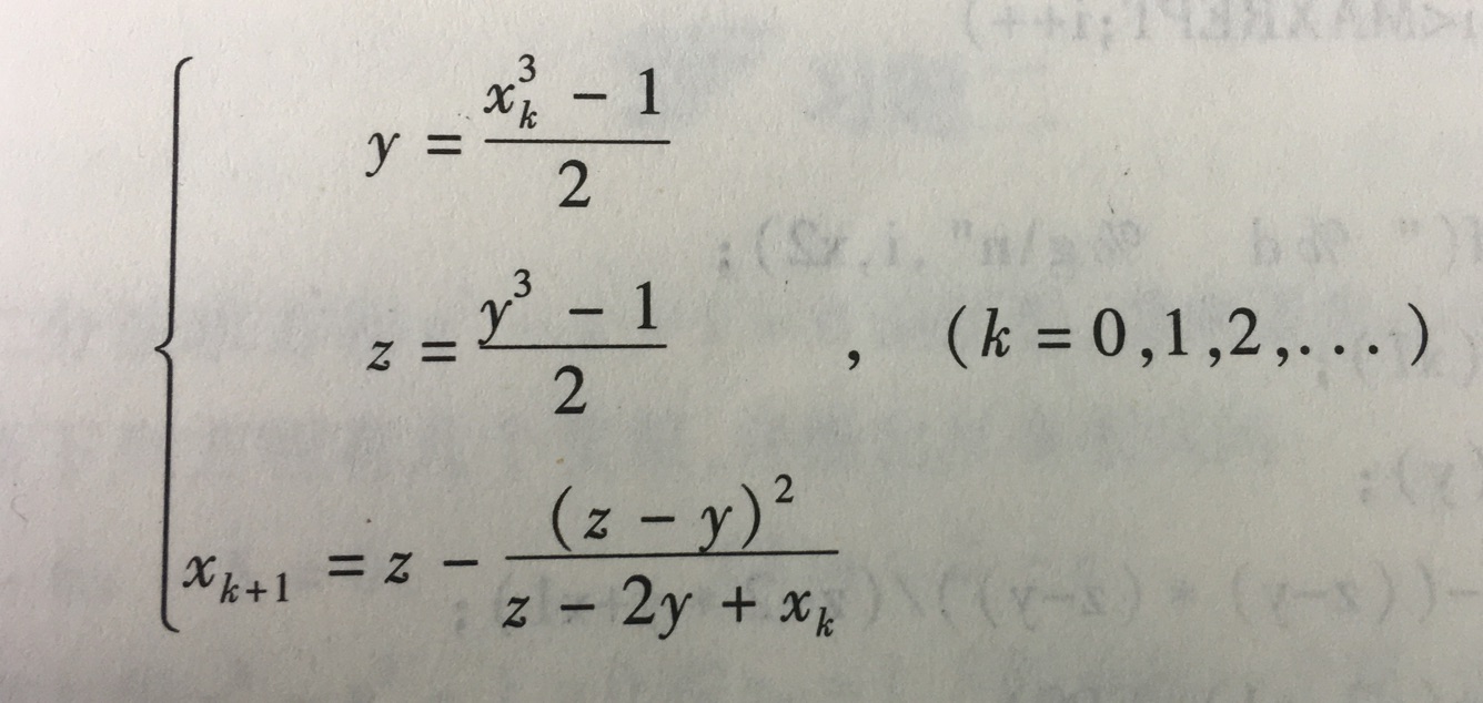
Aitken加速法对收敛性的影响 极客分享



一元二次方程的求根公式 Youtube



初中生也能懂的一元四次方程求根公式推导 哔哩哔哩



例題 克拉瑪公式解二元一次方程組進階 Youtube



例題 克拉瑪公式解二元一次方程組 Youtube



二次函数 维基百科 自由的百科全书



考前複習卷 二元一次聯立方程式歷屆試題 邦導的天空部落 痞客邦



Cnb 基于低频方波信号频率预测的信号频率实时测量方法 Google Patents



中学3年生数学2次方程式解の公式on Vimeo



2 1 聯立二元一次方程 Youtube



椭圆公式大全图解 第1页 图说健康



トップ100連立方程式公式 最高のカラーリングのアイデア



矩阵与数值计算 16 Gauss型求积公式 知乎



二元一次方程式7b Youtube



分式二元一次方程题及答案 二元一次方程组 分式的练习题 三人行教育网 Www 3rxing Org



翻轉學習影片 高中 數學 惠文高中 三元一次方程組 克拉瑪公式練習1



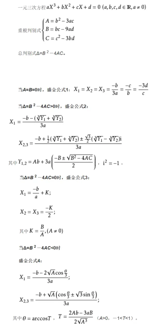
一般实系数三次方程谢国芳求根公式的推导方法1 从卡丹公式出发的推导 Doc 360文库



ユニーク2元1次方程式公式 最高のぬりえ



3种方法来解三次方程



基础 光滑曲线什么意思 以及n次方差 N次方和公式 二项式定理 和的n次方 多学 多想 多总结 Csdn博客 函数光滑



ユニーク2元1次方程式公式 最高のぬりえ



Word数学笔记教程 2 复杂公式的排版 知乎



數學 圓的分一半公式 小編過路君子



Chapter 11 偏微分方程 Some Notes On Mathematics



1 4 4 公式解一元二次方程式on Vimeo



二元一次方程式的解 Youtube



Ch2 空間中的平面與直線2 3 三元一次聯立方程式製作老師 趙益男 基隆女中教師發行公司 龍騰文化事業股份有限公司 Ppt Download



二元一次不等式及其圖形 Youtube



3种方法来解二次方程



トップ100連立方程式公式 最高のカラーリングのアイデア



四次方程 维基百科 自由的百科全书



二元二次方程解法 哔哩哔哩 つロ干杯 Bilibili



Wzxwlxc5qwn2wm
コメント
コメントを投稿